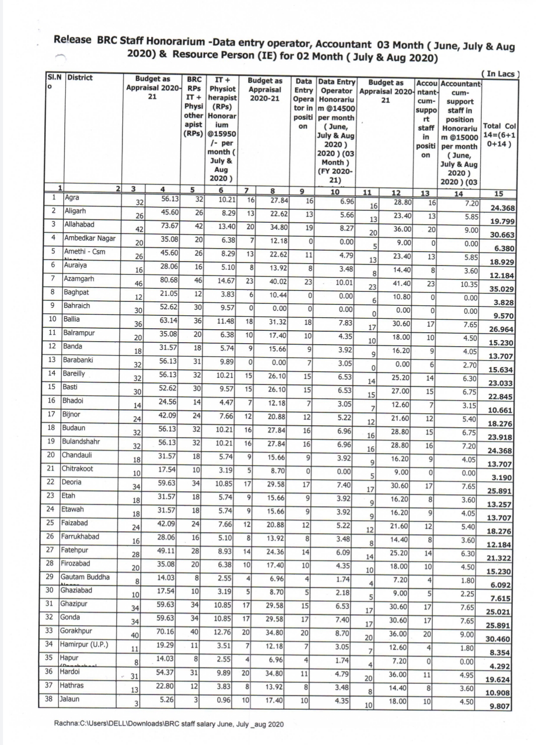
BRC/URC पर रखे गए डाटा एंट्री ऑपरेटर, सहायक लेखाकार एवं CWSN रिसोर्स पर्सन्स के मानदेय हेतु धनराशि जारी
BRC/URC पर रखे गए डाटा एंट्री ऑपरेटर, सहायक लेखाकार एवं CWSN रिसोर्स पर्सन्स के मानदेय हेतु धनराशि जारी
Reviewed by sankalp gupta
on
7:29 PM
Rating:
Reviewed by sankalp gupta
on
7:29 PM
Rating:





No comments:
Post a Comment